山東江泰建材科技有限公司
聯系人:馮總,武經理
電話:18678858906,15318820518
郵箱:shandongjiangtai@163.com
地址:濟南市天橋區濟南新材料產業園區舜興路988號
[摘 要]本文試驗研究了卵砂摻量對全機砂細度模數和 MB 值的影響,并對不同砂率的全機砂混凝土工作性能和力學性能進行測試。結果表明,卵砂比例增加可以優化全機砂細度模數,降低混合砂MB 值,當卵砂摻量 30% 時,混凝土工作性能和強度最佳;合理的砂率對于混凝土和易性和強度發展作用關鍵,當砂率為 46% 時,混合砂顆粒級配合理,混凝土工作性能和力學性能最高。
[關鍵詞]卵砂;細度模數;工作性能;力學性能
0 前言
當前基礎設施建設對混凝土需求居高不下,加上國家對河砂開采活動的嚴格管控,使得天然砂石資源供應短缺,價格攀升。山砂和卵砂等機制砂作為天然砂的替代集料,在混凝土生產中得到應用,加大機制砂比例或利用全機砂生產混凝土將成為未來混凝土行業的基本趨勢[1]。卵砂和機砂來源不同,自身性質也有所差異,山砂通常棱角分明,含有較多石粉,石粉含量及性質對山砂品質影響較大;卵砂由卵石制得,75μm 以下顆粒較少,相對保水性較差[2],一般與細砂和山砂混合使用。研究機制砂混凝土,需要把握機制砂的使用特性,包括卵砂和山砂搭配使用對混凝土性能帶來的影響。本文根據生產情況,按照設定比例對卵砂和山砂進行混合,研究混合機砂參數性質以及對混凝土性能的影響,以供生產參考。
1 原材料及試驗方法
1.1 原材料
(1)膠凝材料
海螺水泥 P·O42.5 普通硅酸鹽水泥,水泥的性能指標見表 1。粉煤灰為Ⅱ級灰,需水比 99%,燒失量 3.0%;礦粉 S95,比表面積 405m2/kg。

(2)集料
山砂細度模數 3.1,石粉含量 13%,MB 值 2.5。卵砂細度模數 2.4,含泥量 0.5%。試驗用石子為小石(5~10mm)和大石(10~25mm)石子按照 1:3 比例混合而成。
(3)外加劑為聚羧酸減水劑,含固量 12%,廠家推薦摻量為 1.5%~3.0%。
1.2 試驗方法
(1)細度模數測試參照 GB/T 14684—2011《建筑用砂》。
(2)MB 值測試參照 JGJ 52—2012《普通混凝土用砂、石質量及檢驗方法標準》進行機制砂亞甲基藍吸附測試。
(3)混凝土工作性能試驗按照 GB/T 50080—2016《普通混凝土拌合物性能試驗方法標準》進行。
(4)混凝土力學性能試驗按照 GB/T 50081—2002《普通混凝土力學性能試驗方法標準》進行,成型 100mm×100mm×100mm 混凝土試件,測定混凝土 3d、7d 和 28d 的抗壓強度。
2 試驗結果及討論
2.1 卵機砂比例對混合機砂細度模數的影響
砂漿和骨料之間的填充效果直接影響混凝土工作性能和硬化后的混凝土密實度和勻質性,卵砂和山砂混合使用,要確定摻加比例,需要對混合后砂的級配情況進行研究。按照設定摻量,將卵砂和山砂進行充分混合,測試混合砂的細度模數,結果見表2、圖 1。

細度模數反映了機制砂的顆粒級配情況。卵砂 75μm 以下細顆粒較少,而山砂石粉較多,顆粒棱角分明[3]。由于卵砂細度模數低,卵砂的加入改變了混合砂的顆粒級配,使混合砂整體 0.3~2.36mm 顆粒增多,細度模數下降。
2.2 卵砂摻量對混合機砂 MB 值的影響
機砂 MB 值反映了機砂中細粉的吸附特性,混凝土在摻外加劑時,機砂 MB 值高低直接影響外加劑的摻量和混凝土保坍性能[4]。對卵砂混合山砂后的機砂 MB 進行了測試,結果見表 3 和圖 2。

表 3 和圖 2 結果顯示,卵砂的加入對混合砂的 MB 值起到一定調節作用,卵砂摻量越大,混合砂的 MB 值越小,這說明卵砂的復配可以降低混合砂對亞甲基藍的吸附強度,進而可能減弱對外加劑的負面作用。
2.3 卵砂比例對混合砂混凝土性能的影響
選擇合理的卵砂和山砂復合比例對混凝土和易性的好壞及硬化后混凝土力學性能的發揮極為重要。為了選擇合理的卵砂摻量,采用混合砂細度模數作為研究對象,考察混凝土工作性能和力學強度。采用的 C30 混凝土配合比見表 4。

以 C30 混凝土為例,測試了卵機砂摻量對混合砂混凝土工作性能和強度的影響,見表 5。
卵砂摻量增加,混凝土坍落度和擴展度先增加后降低,抗壓強度也呈現出相似的趨勢,當卵砂摻量為 30% 時,混合砂細度模數為 2.8,混凝土和易性和力學性能最佳,說明此時卵砂和山砂搭配合理,能夠保證混凝土級配和性能的發揮。
相對山砂,卵砂良好的顆粒形貌能夠促進混凝土拌合物的流動性,但卵砂保水性相對較差。合適的卵砂比例既能豐富漿體體積,形成對骨料有效的包裹和填充,同時也具有良好的粘聚性和流動性,使得混凝土勻質性增加,硬化后的混凝土強度發展良好。

2.4 砂率對混凝土工作性能的影響
參考上述試驗結果,按照卵砂和山砂比例 3:7,混合砂的細度模數為 2.8,所得的混凝土配合比見表 6。

采用表 6 所示混凝土配合比,研究砂率調整對混凝土的工作性能的影響,結果見表 7。

砂率增加,混合砂拌制的混凝土坍落度先增加后降低,當砂率為 46% 時,混凝土坍落度為 230mm,擴展度為 570mm,混凝土流動性較好,此時混凝土 1h 坍落度損失也最低。砂率不足時,混凝土漿體量不足,對集料的包括不足,粘聚性下降,易出現露石、泌水等問題; 砂率較大時混凝土需水量大,影響混凝土流動性。維持合理的砂率范圍能夠改善混凝土填充效果,拌合物流動性和和易性得到有效發揮。
2.5 砂率對混凝土力學性能的影響
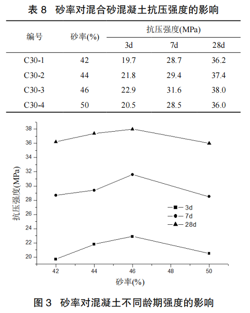
力學性能是混凝土結構服役的重要指標,混凝土良好的力學性能能夠有效抵御自然災害和外界侵蝕,提高工程服役壽命。混凝土砂率能夠影響混凝土勻質性和空隙率,對混凝土力學性能也會造成影響。采用表 6 所示混凝土配合比,測試砂率改變對混凝土不同齡期抗壓強度的影響,結果見表 8、圖 3。

表 8 和圖 3 結果顯示,砂率從 42% 增加至 50%,混凝土 3d、7d 和 28d 抗壓強度先增加后降低,當全機砂混凝土砂率在 46% 時,混凝土各齡期強度最高,此后砂率增加,混凝土強度有所下降。
混凝土強度的發揮,需要集料的有效支撐,同時合理的砂率能夠有效填充骨料之間的縫隙,使得混凝土整體密實度提高,進而改善混凝土工作性能和硬化后的混凝土強度發展[5]。全機砂較低的 MB 值和粉體顆粒對于混凝土工作性能較為重要,當混合砂率在46% 時能夠實現機砂性能指標的優化,提高混凝土的拌和效果。
3 結論
(1)卵砂的加入使得混合砂細度模數有所調整,卵砂摻量增加,混合砂細度模數下降。卵砂摻量增加,山砂的細粉得到稀釋,MB 值下降,但卵砂摻量增加,所含有的泥粉也會對混合砂吸附性能產生一定影響。
(2)適量卵砂能夠改善混合砂混凝土初始坍落度和擴展度,經時坍落度損失減小,硬化后的混凝土強度也得以提高。
(3)砂率從 42% 增加至 50%,混凝土工作性能和 3d、7d 和 28d 抗壓強度都呈現先增加后降低趨勢,當全機砂混凝土砂率在 46% 時,混凝土空隙率最低,混凝土勻質性提高,工作性能得到改善,混凝土各齡期強度增加,此后砂率增加,混凝土工作性能和強度都有所損失。
參考文獻
[1] 劉貞鵬,王晶,陸芳.機制砂及機制砂混凝土研究應用現狀綜述[J].黑龍江交通科技,2017(2): 20-22.
[2] 徐健,蔡基偉,王稷良,等.人工砂與人工砂混凝土的研究現狀[J].國外建材科技,2004(3): 20-24.
[3] 楊振國.機制砂質量指標對混凝土性能影響研究[D].武漢:武漢理工大學[A],2015.
[4] 左文鑾,魏勇,陳雷,等.機制砂 MB 值對混凝土性能的影響[J].商品混凝土,2013, (11): 38-42.
[5] 蔣符發.高性能機制砂水泥混凝土性能的試驗研究[D].重慶:重慶交通大學[A],2012.
來源:摘自《商品混凝土雜志》
下一篇:重塑對砂漿性能的影響